
近日,公共卫生学院汪一心研究团队(Reproductive & Environmental Nexus for Extended Wellness,RENEW Lab)与上海交通大学医学院附属国际和平妇幼保健院、孝感市孝南区妇幼保健院合作,基于孝感出生队列在国际上首次发现孕中期三卤甲烷暴露水平升高不仅影响舒张压和平均动脉压,还增加了妊娠期高血压的发生风险。进一步分析发现,三卤甲烷暴露还与妊娠期平均动脉压持续上升轨迹之间呈线性剂量反应关系。研究成果揭示了环境水平三卤甲烷暴露影响妊娠期血压、血压改变轨迹和高血压发生风险,为优化饮用水卫生政策、预防妊娠期高血压和促进母婴全生命周期健康提供了重要的科学证据。该研究发现已发表于环境与健康领域高水平期刊Environ Sci & Technol(IF=11.3)。

图 1. 队列设计和研究人群
在现代城市供水系统中,饮用水消毒能有效预防多种介水传染病,但消毒剂在杀灭有害微生物的同时,会与水中的腐殖酸、富里酸、藻类及其代谢物、蛋白质等有机物发生化学反应,生成一系列消毒副产物。大量动物实验研究表明消毒副产物具有致癌、致畸、致突变等多重危害,国际癌症研究机构已将三氯甲烷等多种消毒副产物列入可能致癌物清单。近年来,越来越多的毒理学研究证明消毒副产物还具有心血管毒性,但三卤甲烷与妊娠期血压相关的流行病学研究十分匮乏。为全面探讨饮用水消毒副产物对母婴健康的影响,汪一心研究员带领团队建立了迄今为止规模最大、追踪时间最长的饮用水消毒副产物暴露出生队列。该队列始于2015年,在华中地区共计招募了1760名孕妇,于孕早、中、晚期收集了孕妇血尿样本和孕期体检数据(如超声检查、孕期增重、血压、血红蛋白等),于分娩时收集了胎盘、脐带血和胎粪等样本,并对胎儿出生结局和0-8岁的生长发育指标进行了十年的跟踪随访,随访率超90%。

图 2. 孕期三卤甲烷暴露对妊娠期血压的影响
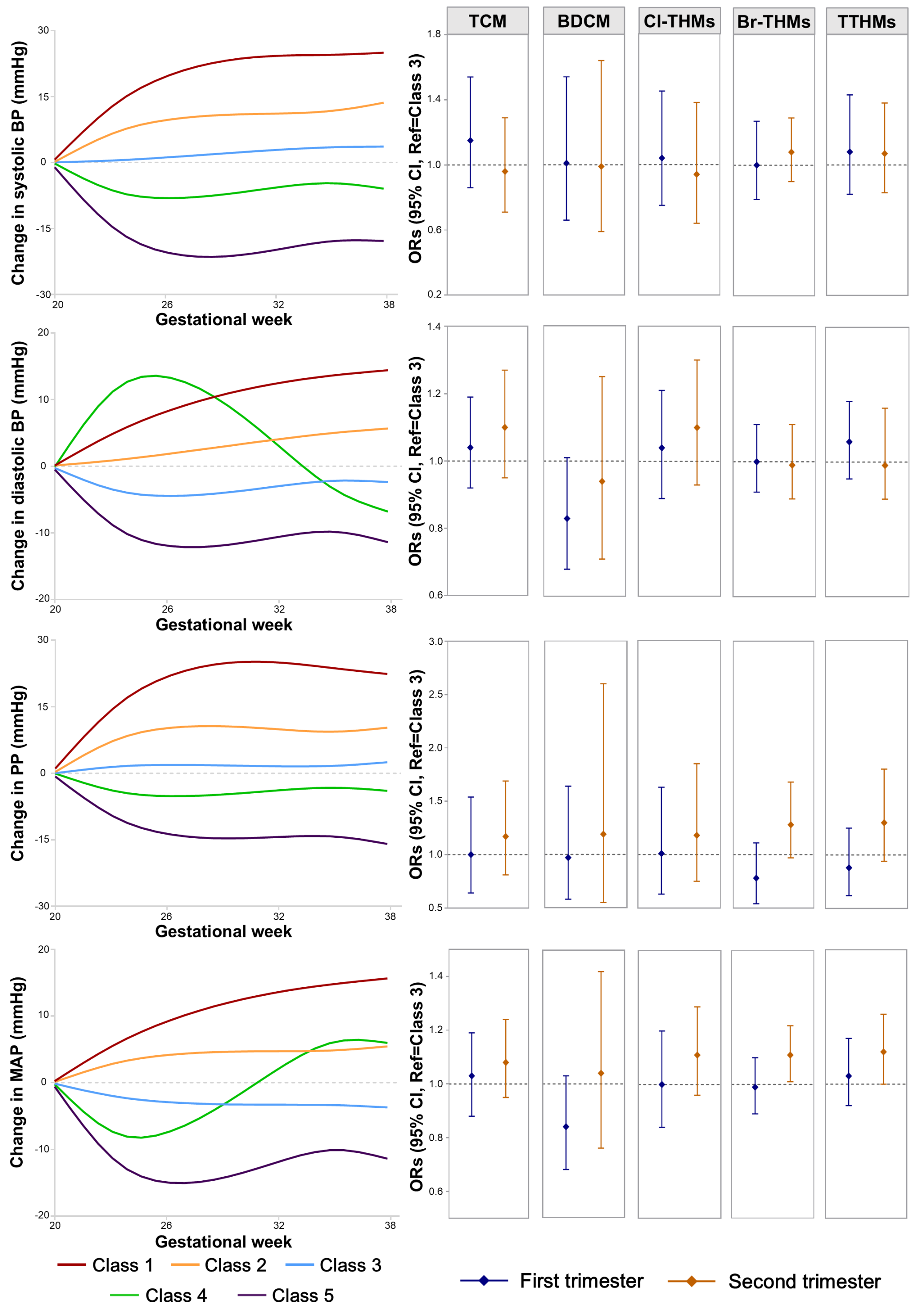
本次研究系统探讨了不同孕期血三卤甲烷浓度对妊娠期血压、血压改变轨迹和高血压发生风险的影响。怀孕期间,1456名孕妇共计完成了3642次孕期血三卤甲烷浓度测定和5816次妊娠期血压、1062次产后血压测定。校正混杂因素后,混合线性模型显示孕中期(14~27周)血三氯甲烷和氯代三卤甲烷浓度每增加2.7倍,妊娠期舒张压分别上升了0.43(95% CI: 0.08, 0.77)和0.43(95% CI: 0.06, 0.79)mmHg,平均动脉压分别上升了0.48(95% CI: 0.06, 0.90)和0.44(95% CI: 0, 0.89)mmHg。潜类别增长分析共识别出5个妊娠期血压改变轨迹。进一步分析发现,孕中期溴代三卤甲烷和总三卤甲烷浓度与平均动脉压持续升高轨迹之间呈线性剂量反应关系。孕中期三氯甲烷、氯代三卤甲烷和总三卤甲烷浓度升高还增加了妊娠高血压风险,且在怀男胎孕妇中更为显著。

图 3. 孕期三卤甲烷暴露对妊娠期高血压发生风险的影响
此外,团队在国际上首次发现了消毒副产物内暴露标志物(血三卤甲烷、尿卤代乙酸)浓度升高与胎儿宫内发育迟缓、小于胎龄儿、新生儿神经功能评分低下、儿童哮喘和肺功能下降等健康结局之间存在显著的暴露剂量反应关系,系统确证了孕期消毒副产物暴露损害了母婴健康。团队相关研究成果荣获国家科技进步二等奖、湖北省科学技术进步奖一等奖,并为国家《生活饮用水卫生标准》(GB5749-2022)的修订提供了重要科学依据。相关研究论文被列为重要证据,支撑了美国毒物和疾病登记署(Agency for Toxic Substances and Disease Registry, ATSDR) 及环境保护署(U.S. Environmental Protection Agency, EPA) 最新(2024 年)三氯甲烷的毒理学概况修订,为全面评估饮用水消毒副产物的公众健康风险提供了重要依据。相关研究成果相继发表在Eur Respir J(2篇, IF=21.0)、ES&T(8篇, IF=11.3)、EHP(IF=9.8)等高水平学术期刊。

图 4. 孕期三卤甲烷暴露对妊娠期血压改变轨迹的影响
为进一步全面深入探究孕期不良因素(环境暴露、营养不均衡、生活方式等)对母亲远期健康及子代生长发育的影响,汪一心研究员2025年联合上海申康医院发展中心、上海交通大学医学院附属三甲医院、上海市第一妇婴保健院、江南大学等共同开展了队列十年后的系统性健康回访。本次回访母亲体检项目包括妇科检查、乳腺B超、卵巢功能检测、眼科检查、肩关节核磁等14项;儿童体检项目包括眼科检查、生长发育和心理行为发育评估、脑核磁、心脏彩超、肺肾功能、踝关节检查等11项。研究成果有望为推动我国母婴全生命周期健康和疾病的早期防控提供创新性科学依据。
上海交通大学公共卫生学院刘翀助理研究员和中国福利会国际和平妇幼保健院章美玲副研究员为本文第一作者,上海交通大学公共卫生学院汪一心研究员、潘素素博士后和中国福利会国际和平妇幼保健院刘志伟教授为本文通讯作者。其他作者包括哈佛大学陈曾熙公共卫生学院Jorge E Chavarro教授、布莱根妇女医院JoAnn E Manson教授、埃默里大学Audrey J Gaskins教授、格拉纳达大学Vicente Mustieles教授、华中科技大学公共卫生学院鲁文清教授、上海交通大学附属第六人民医院孙杨副研究员、上海交通大学公共卫生学院黄利利助理研究员和孝感市孝南区妇幼保健院谢志强、张金凤医生。本项目得到了国家自然科学基金(项目号:81903281、81673123)、上海交通大学医工交叉研究基金(项目号:YG2025QNA48)和上海市胚胎源性疾病重点实验室开放课题(项目号:shelab2025ZD01)资助。