您所处的位置 首页 > 正文

医学院离退休干部以笔达意,以色当墨,共贺交医70华诞

浏览:【

百廿年源远流长,七十载栉风沐雨

我们迎来了医学院70周年院庆

曾经为七秩交医的发展

贡献自己的青春和力量的离退休老同志

以笔达意,字字传情

以色当墨,丹青写意

书写下他们与交医的点滴故事

描绘着他们眼中的交医盛景

述说出他们对交医的深厚情感

今天推出贺交医70周年院庆书画作品

用笔墨丹青共贺交医七秩华诞




   

   

   
    
    
绘画作品      
    

undefined

作品:《七秩芳华》


     

作者:钱关祥

上海交通大学医学院

原副院长


undefined

作品:《八十年代的母校》

作品:《八十年代的母校》


       

作者:杨  群

附属第九人民医院

原整复外科主任医师

undefined

作品:《校门旧影》

作品:《校门旧影》


       

作者:于丽莉

原生化教研室高级实验师

作品:《大医精诚》


     

作者:陈  斌

原体育教研室讲师

undefined

undefined

作品:《我的校园我的魂》

作品:《我的校园我的魂》


       

作者:张觉先

原物理教研室副教授

undefined

作品:《医路芳华》

作品:《医路芳华》


       

作者:刘晓红

附属瑞金医院

原精神文明办主任

undefined

作品:《医学殿堂》

作品:《医学殿堂》


       

作者:胡爱平

原公卫学院副研究员

作品:《升华》


     

作者:徐  骏  院本部

原图书馆副研究馆员

undefined


4A32F


undefined

作品:《校园美景》

作品:《校园美景》


       

作者:富赛里

原免疫系高级实验师

5B074

作品:《欣欣向荣》


     

作者:王庆宪

原人事处政工师

undefined

作品:《荣华》

作品:《荣华》


       

作者:张义勇

原图书馆馆长

作品:《春色满园》


     

作者:潘翠琴

原生物医学工程教研室技师


undefined

作品:《信步迎硕果》


     

作者:邵天锡

原公卫学院副教授

作品:《富贵吉祥》


     

作者:钟月萍

附属新华医院

原肿瘤科主管护师

undefined

undefined

作品:《上门采样》

作品:《上门采样》


       

作者:赵涵芳

原生化教研室教授



     

   

     

     



   
书法作品      

   

undefined

作品:《地灵孕名医》


     

作者:白鸿兴 离休干部

原中文教研室副主任

副教授

undefined

作品:《更上一层楼》    

作品:《更上一层楼》


       

作者:陆欧伦  离休干部

原生物医学工程教研室教授


作品:

《看今朝再谱新篇》


     

作者:陆永明

原后勤修建中心主任

undefined

undefined


作品:《群星璀璨》


     

作者:陈履敏

原档案馆主管技师


   

作品:《医源珍档》


     

作者:程五凤

原营养学教研室教授


undefined

作品:

《医学生誓词节录》


     

作者:徐  骏  院本部

原图书馆副研究馆员

undefined


作品:《精勤不倦再铸辉煌》

作品:《精勤不倦再铸辉煌》


       

作者:肖锡平

附属第九人民医院

财务处副处长

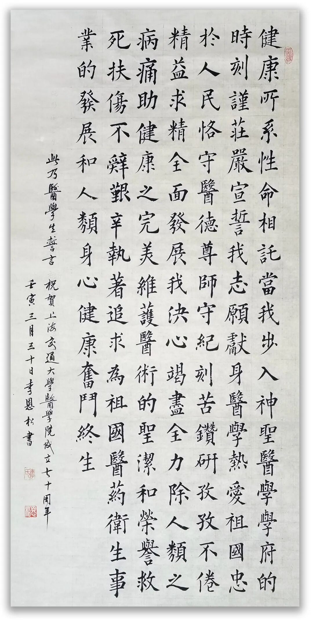
作品:《医学生誓言》


     

作者:李恩松

原教务处主管技师

4D6C2

undefined

作品:《博极医源 精勤不倦》

作品:《博极医源 精勤不倦》


       

作者:高菊妹

附属第九人民医院

原儿科副主任医师

 

作品:

《听党指挥 共克时艰》


     

作者:陈履敏

原档案馆主管技师

undefined

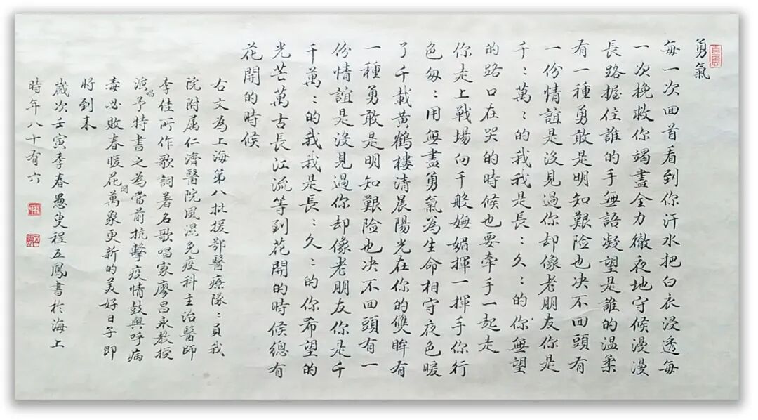
作品:抗疫歌曲《勇气》歌词

作品:抗疫歌曲《勇气》歌词


       

作者:程五凤

原营养学教研室教授

undefined

作品:《守护健康》

作品:《守护健康》


       

作者:陆永明

原后勤修建中心主任


作品:《众志成城》


     

作者:陈  斌

原体育教研室讲师

undefined

   



     

   

     

     

幅幅作品饱含老同志们

真挚而热烈的情怀

让人心生敬意与感动

激励着交医后来者

勇担责任,砥砺前行

续谱新时代交医发展新篇章

新征程上

期待离退休老同志

携手助力

一如既往地关心和支持

祝福交医七秩华诞

祝福老同志们

健康长寿,乐龄时代,生活幸福



Copyright © 2016 上海交通大学医学院老干部工作办公室、退管会办公室
地址:中国上海重庆南路227号 邮编:200025 电话:021-63846590